Dichiara, in una nota, Giovanni Vizziello, Capogruppo di Fratelli d’Italia della Regione Basilicata, sulla base di un documento pubblicato dalla FNOPI, Federazione nazionale degli ordini delle professioni infermieristiche:
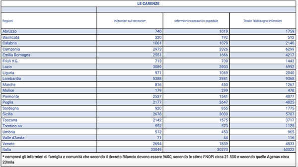
“In Basilicata mancano più di 500 infermieri, un deficit che occorre colmare al più presto perché in grado di mettere potenzialmente a rischio l’efficacia delle cure erogate, efficacia che il nostro sistema sanitario riesce a garantire grazie alla competenza e allo spirito di sacrificio dimostrati quotidianamente dal personale sanitario.
Un giorno sì e l’altro pure si esprime la necessità di rafforzare la medicina del territorio, ma qualsiasi progetto di potenziamento dei servizi sanitari, soprattutto di quelli riguardanti l’assistenza sanitaria distrettuale, rischia di naufragare senza idonei investimenti in risorse umane e la circostanza che nella nostra regione, secondo la denuncia della FNOPI, mancano 320 infermieri nei distretti (compresi gli infermieri di famiglia o di comunità) e 192 infermieri negli ospedali, non consente ad alcuno di dormire sonni tranquilli.
La necessità di garantire al personale sanitario il rispetto dell’orario di lavoro stabilito dalla legge 161 del 2014, vero e proprio miraggio in molte strutture sanitarie regionali, e quella di assicurare ai cittadini servizi sanitari di qualità presuppone quindi nuove assunzioni di infermieri rinvigorendo gli organici di un comparto, quello delle professioni infermieristiche, per anni sottodimensionato e caratterizzato da vaste sacche di precariato”.




























